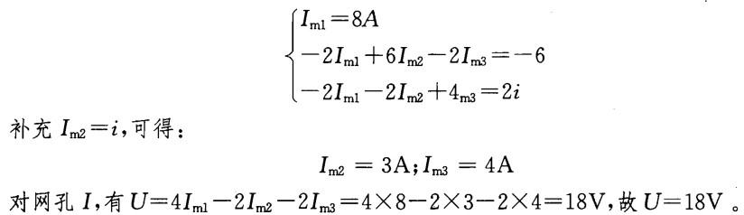
如图所示,电路中的u应为( )。A. 18VB. 12VC. 9VD. 8V

作者: rantiku 人气: - 评论: 0
问题 如图所示,电路中的u应为( )。
选项 A. 18V B. 12V C. 9V D. 8V
答案 A
解析 解如图所示,采用网孔分析法,8A电流源位于外围网孔。

猜你喜欢

发表评论
更多 网友评论0 条评论)
暂无评论

Copyright © 2012-2014 恰考网 Inc. 保留所有权利。 Powered by tikuer.com

页面耗时0.0420秒, 内存占用1.01 MB, Cache:redis,访问数据库20次