无限长同轴圆柱面,半径分别为a和b(b>a),每单位长度上电荷:内柱为τ,而外柱为-τ,已知两圆柱面间的电介质为真空,则两带电圆柱面间的电压U为()。

作者: rantiku 人气: - 评论: 0
问题 无限长同轴圆柱面,半径分别为a和b(b>a),每单位长度上电荷:内柱为τ,而外柱为-τ,已知两圆柱面间的电介质为真空,则两带电圆柱面间的电压U为()。
选项
答案 D
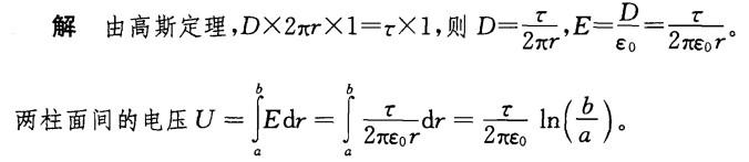
解析

猜你喜欢

发表评论
更多 网友评论0 条评论)
暂无评论

Copyright © 2012-2014 恰考网 Inc. 保留所有权利。 Powered by tikuer.com

页面耗时0.0333秒, 内存占用1.01 MB, Cache:redis,访问数据库18次