电路如图所示,则电压uA为()。A. 0. 5VB. 0. 4VC. -0. 5VD. -0. 4V

作者: rantiku 人气: - 评论: 0
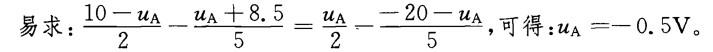
问题 电路如图所示,则电压uA为()。
选项 A. 0. 5V B. 0. 4V C. -0. 5V D. -0. 4V
答案 C
解析 如图所示。 由KCL 定律得:I1= I2 + I3,I3 + I4 = I5,整理得:I1-I2= I5-I4。

猜你喜欢

发表评论
更多 网友评论0 条评论)
暂无评论

Copyright © 2012-2014 恰考网 Inc. 保留所有权利。 Powered by tikuer.com

页面耗时0.0376秒, 内存占用1.01 MB, Cache:redis,访问数据库20次