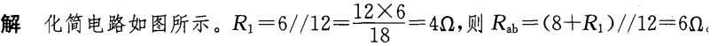
电路如图所示,求ab之间的电阻值为()。A. 4ΩB. 6ΩC. 8ΩD. 9Ω

作者: rantiku 人气: - 评论: 0
问题 电路如图所示,求ab之间的电阻值为()。
选项 A. 4Ω B. 6Ω C. 8Ω D. 9Ω
答案 B
解析

猜你喜欢

发表评论
更多 网友评论0 条评论)
暂无评论

Copyright © 2012-2014 恰考网 Inc. 保留所有权利。 Powered by tikuer.com

页面耗时0.0408秒, 内存占用1.01 MB, Cache:redis,访问数据库18次