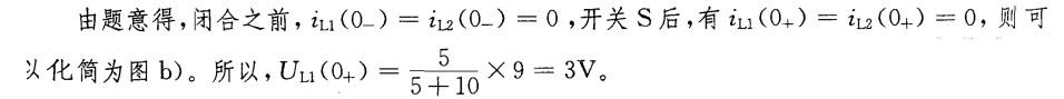
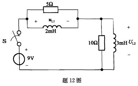
电路如图所示,当t=0时,闭合开关S,有UL1(0+) = U12(0+) = 0,则UL1(0+)为( )。A. 1.5VB. 6VC. 3...

作者: rantiku 人气: - 评论: 0
问题 电路如图所示,当t=0时,闭合开关S,有UL1(0+) = U12(0+) = 0,则UL1(0+)为( )。
选项 A. 1.5V B. 6V C. 3 V D. 7.5V
答案 C
解析 解如图a)所示。

猜你喜欢

发表评论
更多 网友评论0 条评论)
暂无评论

Copyright © 2012-2014 恰考网 Inc. 保留所有权利。 Powered by tikuer.com

页面耗时0.0255秒, 内存占用1.01 MB, Cache:redis,访问数据库17次