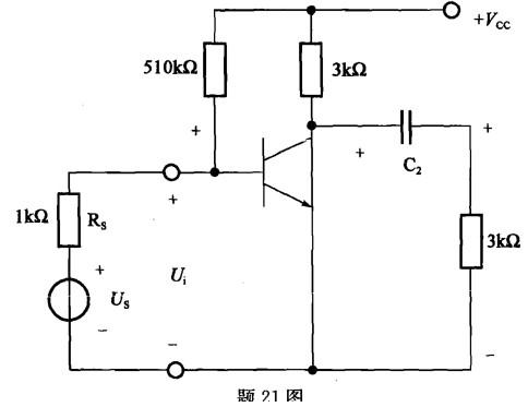
简单电路如图所示,已知晶闸管β=100,rbe=1kΩ,耦合对交流信号视为短路,求电路A. -8. 75B. 300C. -300D....

作者: rantiku 人气: - 评论: 0
问题 简单电路如图所示,已知晶闸管β=100,rbe=1kΩ,耦合对交流信号视为短路,求电路
选项 A. -8. 75 B. 300 C. -300 D.-150
答案 D
解析

猜你喜欢

发表评论
更多 网友评论0 条评论)
暂无评论

Copyright © 2012-2014 恰考网 Inc. 保留所有权利。 Powered by tikuer.com

页面耗时0.0578秒, 内存占用1.01 MB, Cache:redis,访问数据库19次