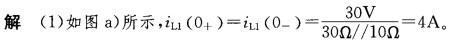
如图所示电路中,换路前已处于稳定状态,在t=0时开关S打开后的电流iL(t)为( )。A. 3 - e50tA B. 3 - e-50tA C. ...

作者: rantiku 人气: - 评论: 0
问题 如图所示电路中,换路前已处于稳定状态,在t=0时开关S打开后的电流iL(t)为( )。 A. 3 - e50tA B. 3 - e-50tA C. 3 + e-50t
选项 A D. 3 + e50tA
答案 C
解析 答案:C

猜你喜欢

发表评论
更多 网友评论0 条评论)
暂无评论

Copyright © 2012-2014 恰考网 Inc. 保留所有权利。 Powered by tikuer.com

页面耗时0.0343秒, 内存占用1.01 MB, Cache:redis,访问数据库17次