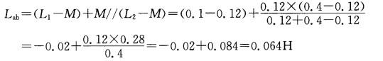
如图所示含耦合电感电路中,已知L1 = 0. 1H,L2 = 0. 4H,M = 0. 12H。ab端的等效电感Lab为()。A. 0. 064H...

作者: rantiku 人气: - 评论: 0
问题 如图所示含耦合电感电路中,已知L1 = 0. 1H,L2 = 0. 4H,M = 0. 12H。ab端的等效电感Lab为()。
选项 A. 0. 064H B. 0. 062H C. 0. 64H D. 0. 62H
答案 A
解析 解方法一:如图a)所示。 方法二:去耦等效电路图b)所示。 答案:A

猜你喜欢

发表评论
更多 网友评论0 条评论)
暂无评论

Copyright © 2012-2014 恰考网 Inc. 保留所有权利。 Powered by tikuer.com

页面耗时0.0430秒, 内存占用1.02 MB, Cache:redis,访问数据库20次