某投资者购买了一幢写字楼出租经营,购楼投资的60%来自银行提供的期限10年、年利率10%、按年等额还本付息的抵押贷款。假设写字楼的出租率一直稳定在85%,...

作者: tihaiku 人气: - 评论: 0
问题 某投资者购买了一幢写字楼出租经营,购楼投资的60%来自银行提供的期限10年、年利率10%、按年等额还本付息的抵押贷款。假设写字楼的出租率一直稳定在85%,且净租金收入每年以6%的速度上涨(收入发生在期初),计划第10年末转售,投资者的期望收益率为10%。该写字楼资本金现金流量现值的计算所涉及的公式包括()。
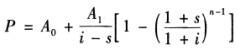
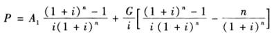
选项 A:A=P[i(1+i)n/(1+i)n-1 B:P=F[1/(1+i)n] C:P=nA1/(1+i) D:P= E:P=
答案 ABD
解析 要用到等额序列支付资金回收系数公式算出每年还本付息额,一次性支付的终值系数公式算出第10年末转售价格折现值,还要用等比序列现值系数公式算出每年净租金的折现值。C选项是等比序列现值系数公式中当年净租金增长率等于收益率时的公式,E选项是等差序列现值系数公式,均与题意不符。

相关内容:投资者,写字楼,经营,投资,银行,期限,年利率,等额,抵押贷款,假设,写字,出租率

猜你喜欢

发表评论
更多 网友评论0 条评论)
暂无评论

访问排行

Copyright © 2012-2014 恰考网 Inc. 保留所有权利。 Powered by tikuer.com

页面耗时0.0506秒, 内存占用1.05 MB, Cache:redis,访问数据库19次