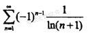
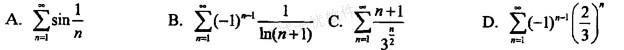
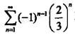
下列各级数中发散的是( )。
相关内容:级数
- 已知,则f(x)在(0,π)内的正级数的和函数s(x)在x=π/2处的值及系数b3分别为( )。
- 幂级数的和是( )。
- 已知幂级数的收敛半径R=1,则幂级数的收敛域为( )。A. (-1,1]
B. [-1,1]
C. [-1,1)
D.(-∞,+∞)
- 幂级数的收敛域为()。A. [-1,1)
B. [4,6)
C. [4,6]
D. (4,6]
- 设幂级数的收敛半径为2,则幂级数的收敛区间是( )。A. (-2,2)
B. (-2,4)
C. (0,4)
D. (-4,0)
- 若幂级数在x=-2处收敛,在x = 3处发散,则该级数( )。A.必在x = -3处发散
B.必在x=2处收敛
C.必在 x >3时发散
D.其收敛...
- 设0≤an≤1/n(n=1,2,…),下列级数中绝对收敛的是( )。
- 下列级数中,发散的级数是( )。
- 若级数收敛,则下列级数中不收敛的是( )。
- 对正项级数 ,则是此正项级数收敛的( )。A.充分条件,但非必要条件
B.必要条件,但非充分条件
C.充分必要条件
D.既非充分条件,又非必要条件