下列级数中,发散的级数是( )。

作者: tihaiku 人气: - 评论: 0
问题 下列级数中,发散的级数是( )。
选项
答案 D
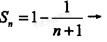
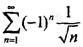
解析 提示:是交错级数,故收敛;利用比值判别法知级数收敛;对于,其部分和数列1,故收敛,所以应选D。

猜你喜欢

发表评论
更多 网友评论0 条评论)
暂无评论
错误啦!

错误信息

  • 消息: [程序异常] : MISCONF Redis is configured to save RDB snapshots, but it's currently unable to persist to disk. Commands that may modify the data set are disabled, because this instance is configured to report errors during writes if RDB snapshotting fails (stop-writes-on-bgsave-error option). Please check the Redis logs for details about the RDB error.
  • 文件: /twcms/kongphp/cache/cache_redis.class.php
  • 位置: 第 85 行
    <?php echo 'KongPHP, Road to Jane.'; ?>