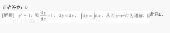
方程dy/dx-y/x=0的通解为( )。A. y= C/x B. y = Cx C.y= 1/x+ C D. y = x + C

作者: tihaiku 人气: - 评论: 0
问题 方程dy/dx-y/x=0的通解为( )。
选项 A. y= C/x B. y = Cx C.y= 1/x+ C D. y = x + C
答案 D
解析

猜你喜欢

发表评论
更多 网友评论0 条评论)
暂无评论

Copyright © 2012-2014 恰考网 Inc. 保留所有权利。 Powered by tikuer.com

页面耗时0.0498秒, 内存占用1.03 MB, Cache:redis,访问数据库20次