在图7-33所示电路中,开关k在t=0时刻打开,此后,电流i的初始值和稳态值分别为()。

作者: tihaiku 人气: - 评论: 0
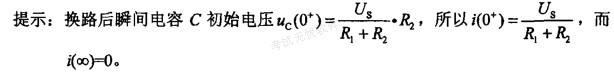
问题 在图7-33所示电路中,开关k在t=0时刻打开,此后,电流i的初始值和稳态值分别为()。
选项
答案 B
解析 正确答案是B。

猜你喜欢

发表评论
更多 网友评论0 条评论)
暂无评论

Copyright © 2012-2014 恰考网 Inc. 保留所有权利。 Powered by tikuer.com

页面耗时0.0414秒, 内存占用1.04 MB, Cache:redis,访问数据库20次