某三相异步电动机,额定电压380V,功率因数0.85,△联结,接于f=50Hz,UL=380V的三相电源上运行,测得线电流为30A,输出转矩为300N·m...

作者: tihaiku 人气: - 评论: 0
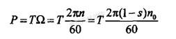
问题 某三相异步电动机,额定电压380V,功率因数0.85,△联结,接于f=50Hz,UL=380V的三相电源上运行,测得线电流为30A,输出转矩为300N·m,转差率为0.04,该电动机的输出功率是()kW。
选项 A.52.5 B.30.2 C.28.3 D.7.85
答案 B
解析 正确答案是B。 提示:用机械量计算输出功率正确答案是B。

相关内容:异步电动机,电压,接于,电源,运行,电流,转矩

猜你喜欢

发表评论
更多 网友评论0 条评论)
暂无评论
错误啦!

错误信息

  • 消息: [程序异常] : MISCONF Redis is configured to save RDB snapshots, but it's currently unable to persist to disk. Commands that may modify the data set are disabled, because this instance is configured to report errors during writes if RDB snapshotting fails (stop-writes-on-bgsave-error option). Please check the Redis logs for details about the RDB error.
  • 文件: /twcms/kongphp/cache/cache_redis.class.php
  • 位置: 第 85 行
    <?php echo 'KongPHP, Road to Jane.'; ?>