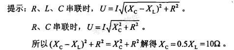
在R、L、C串联电路中,XL=20Ω:若总电压维持不变而将L短路,总电流的有效值与原来相同,则XC应为()Ω。A.40
B.30
C.10
D.5
相关内容:电路,若总,电压,短路,总电,有效值
- 如图7-9所示电路中电流I为( )A。
A. 2
B. -2
C. 3
D. -3
- 如图7-5所示的有源二端网络对外电路来说可等效为( )。
A.Is与R的串联组合
B.理想电压源Us
C.理想电流源Is
D.仍为原电路不变
- 电路如图7-4所示,已知I=1A,Us为( )V。
A. -1
B. -3
C. 2.4
D.4
- 某放大电路如图7-53所示,已知三极管电流放大系数β=50,UBE=0.6V,静态时UCE等于()V。
A.10.2
B.7.6
C.6.8
D.8.3
- 某三相异步电动机,额定电压380V,功率因数0.85,△联结,接于f=50Hz,UL=380V的三相电源上运行,测得线电流为30A,输出转矩为300N·m...
- 如图7-41所示电路中,R=1kΩ,C=1μF,Ui=1V,电容无初始储能,如果开关S在t=0时刻闭合,则给出输出电压波形的是()。
- 中性点接地的三相五线制电路中,所有单相电气设备电源插座的正确接线是图7-42中的()。
- 三相正弦交流电路如图7-25所示,对称负载接成三角形,己知电源电压UL=220V,每相阻抗Z=15+j16.1(Ω),当AB相断路时,电流表的读数是()A...
- 有一台6kW的三相异步电动机,其额定运行转速为148r/min,额定电压为380V,全压起动转矩是额定运行转矩的1.2倍,现采用△Y起动以降低其起动电流,...
- 在信号源(us,Rs)和电阻RL,之间插入一个理想变压器,如图7-43所示,若电压表和电流表的读数分别为100V和2A,则信号源供出电流的有效值为()A。...