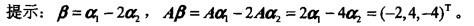
已知λ= 2是三阶矩A的一个特征值,α1、α2是A的属于λ= 2的特征向量。 若α1=(1,2,0)T,α2=(1,0,1)T,向量β= (-1,2,-2...
相关内容:三阶,特征值,特征,向量
- 设λ1、λ2是矩阵A的两个不同的特征值,ξ、η是A的分别属于λ1、λ2的特征向量,则以下选项正确的是( )。
- 已知λ= 2是三阶矩A的一个特征值,α1、α2是A的属于λ= 2的特征向量。 若α1=(1,2,0)T,α2=(1,0,1)T,向量β= (-1,2,-2...
- 设n阶矩阵A可逆,α是A的属于特征值λ的特征向量,则下列结论中不正确的是( )。A. α是矩阵-2
B的属于特征值-2λ的特征向量
C. α是矩阵
...
- 设α、β、γ、δ是维向量,已知α、β线性无关,γ可以由α、β线性表示, δ不能由α、β线性表示,则以下选项正确的是( )。A. α、β、γ、δ线性无关
...
- 设α、β、γ均为三维列向量,以这三个向量为列构成的3阶方阵记为A,即A=(αβγ)。若α、β、γ所组成的向量组线性相关,则 A 的值是( )。A.大于0
...
- 已知。r1=3,r2=-3是方程y+py+q=0 (p和q是常数)的特征方程的两个根, 则该微分方程是( )。A. y+9y=0= 0
B. y-9y=...
- 设直线的方程为,则直线()。A.过点(1,-1,0),方向向量为2i+j-k
B.过点(1,-1,0),方向向量为2i-j+k
C.过点(-1,1,0...
- 设平面π的方程为2x-2y+3 = 0,以下选项中错误的是( )。A.平面π的法向量为i-j
B.平面π垂直于z轴
C.平面π平行于z轴
D.平面π...
- 已知两点M(5,3,2)、N(1,-4,6),则单位向量MN0可表示为( )。
- 设α=i+2j+3k,β=i-3j-2k,与α、β都垂直的单位向量为( )。