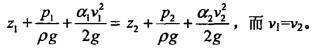
如图6-15所示垂直下泄恒定流水管,出口流速v=6m/s,管径不变,上游断面1-1高于出口断面2-2,高差为4m,水头损失不计,则上断面1-1的压强水头为...

作者: tihaiku 人气: - 评论: 0
问题 如图6-15所示垂直下泄恒定流水管,出口流速v=6m/s,管径不变,上游断面1-1高于出口断面2-2,高差为4m,水头损失不计,则上断面1-1的压强水头为( )mH2O。
选项 A. 4 B. 6 C. 5 D. -4
答案 D
解析 提示:列1-1,2-2两断面能量方程

相关内容:如图,水管,出口,流速,管径,上游,断面,高差,水头,损失,压强

猜你喜欢

发表评论
更多 网友评论0 条评论)
暂无评论

Copyright © 2012-2014 恰考网 Inc. 保留所有权利。 Powered by tikuer.com

页面耗时0.0322秒, 内存占用1.03 MB, Cache:redis,访问数据库14次