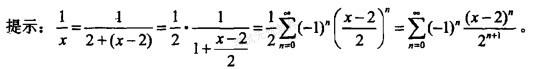
函数1/x展开成(x-2)的幂级数为( )。
相关内容:函数,级数
- 电路如图所示,若用A=1和B=1代表开关在向上位置,A=0和B=0代表开关在向下位置;以L=1代表灯亮,L=0代表灯灭,则L与A、B的逻辑函数表达式为( ...
- 下列命题中正确的是()。A.己知逻辑函数A+B=A+C,则B=C
B.己知逻辑函数A+B=AB,则A=B
C.已知逻辑函数A+B=A,则A=1
D....
- 某种理想气体的总分子数为N,分子速率分布函数为f(v),则速率在v1~v2区间内的分子数是()。
- 设服从N(0,1)分布的随机变量X,其分布函数为Φ(x)。如果Φ(1)=0.84,则P{ X ≤1}的值是( )。A. 0.25
B. 0.68
C....
- 下列函数中不是方程y''-2y'+y= 0的解的函数是( )。A. x2ex
B. ex
C. xex
D. (x+2)ex
- 若y2(x)是线性非齐次方程y'+p(x)y=q(x)的解,y1(x)是对应的齐次方程y'+p(x)y=0的解,则下列函数也是y'+p(x)y=q(...
- 函数1/x展开成(x-2)的幂级数为( )。
- 已知幂级数的收敛半径R=1,则幂级数的收敛域为( )。A. (-1,1]
B. [-1,1]
C. [-1,1)
D.(-∞,+∞)
- 幂级数的收敛区间为( )。A. [-1,1]
B. (-1,1]
C. [-1,1)
D. (-1,1)
- 若,则幂级数 ( )。A.必在 x >3时发散
B.必在 x ≤3时发敛
C.在x=-3处的敛散性不定
D.其收敛半径为3