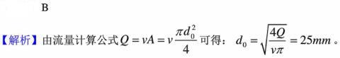
有一变截面压力管道,测得流量Q=10L/s,其中一截而的管径d1= 100mm,另一截面处的速度ν0=20.3m/s,则此截面的管径d0为( )mm。A....

作者: tihaiku 人气: - 评论: 0
问题 有一变截面压力管道,测得流量Q=10L/s,其中一截而的管径d1= 100mm,另一截面处的速度ν0=20.3m/s,则此截面的管径d0为( )mm。
选项 A. 20 B. 25 C. 28 D. 30
答案 B
解析

相关内容:一变,截面,压力,管道,流量,一截,管径,速度,此截

猜你喜欢

发表评论
更多 网友评论0 条评论)
暂无评论

Copyright © 2012-2014 恰考网 Inc. 保留所有权利。 Powered by tikuer.com

页面耗时0.0349秒, 内存占用1.04 MB, Cache:redis,访问数据库19次