如图所示贮水设备,在点C测得绝对压强P=196120Pa,h=1m, R=1m,则作用在半球AB上的静水总压力为( )。A. 584.9kN B. 24...

作者: tihaiku 人气: - 评论: 0
问题 如图所示贮水设备,在点C测得绝对压强P=196120Pa,h=1m, R=1m,则作用在半球AB上的静水总压力为( )。
选项 A. 584.9kN B. 246.6kN C. 605.4kN D. 267.0kN
答案 B
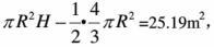
解析 设自由液而至C点的高度为h+H,由p=ρg(h +H)+pu,其中pu为标准大气压,即1.013X105Pa,得:H=8.6850m,向自由表而做压力体,则压力体为以R为底半径,H为高的圆柱体减去半球形,其体积为: 根据曲面上静水总压力公式得:根据曲面上静水总压力公式得:P=ρgV = 246.6kN。

相关内容:如图,设备,在点,压强,196120Pa,半球,压力,584.9kN

猜你喜欢

发表评论
更多 网友评论0 条评论)
暂无评论
错误啦!

错误信息

  • 消息: [程序异常] : MISCONF Redis is configured to save RDB snapshots, but it's currently unable to persist to disk. Commands that may modify the data set are disabled, because this instance is configured to report errors during writes if RDB snapshotting fails (stop-writes-on-bgsave-error option). Please check the Redis logs for details about the RDB error.
  • 文件: /twcms/kongphp/cache/cache_redis.class.php
  • 位置: 第 85 行
    <?php echo 'KongPHP, Road to Jane.'; ?>