P点位于两根互相平行相距为r的长导线的中间,即r/2处。当一根导线中的电流为I,而另一根导线中的电流为0时,P点的磁感应强度为B;若两根导线中均有电流I,...

作者: tihaiku 人气: - 评论: 0
问题 P点位于两根互相平行相距为r的长导线的中间,即r/2处。当一根导线中的电流为I,而另一根导线中的电流为0时,P点的磁感应强度为B;若两根导线中均有电流I,大小相等但方向相反,则P点的磁感应强度为( )B。
选项 A. 0 B. 1 C. 2 D. 4
答案 C
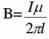
解析 根据公式 ,一根导线中的电流为I时,P点的磁感应强度为B。由于两根导线中电流方向相反,根据右手定则,两导线在P点磁感应强度相互叠加,P点磁感应强度为2B。

相关内容:平行,导线,一根,电流,磁感应,强度

猜你喜欢

发表评论
更多 网友评论0 条评论)
暂无评论
错误啦!

错误信息

  • 消息: [程序异常] : MISCONF Redis is configured to save RDB snapshots, but it's currently unable to persist to disk. Commands that may modify the data set are disabled, because this instance is configured to report errors during writes if RDB snapshotting fails (stop-writes-on-bgsave-error option). Please check the Redis logs for details about the RDB error.
  • 文件: /twcms/kongphp/cache/cache_redis.class.php
  • 位置: 第 85 行
    <?php echo 'KongPHP, Road to Jane.'; ?>