三相异步电动机启动瞬间,其转差率为( )。A.s=0 B.s=0.07 C.s=1 D. s>1

作者: tihaiku 人气: - 评论: 0
问题 三相异步电动机启动瞬间,其转差率为( )。
选项 A.s=0 B.s=0.07 C.s=1 D. s>1
答案 C
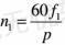
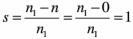
解析 三相异步电动机启动瞬间,旋转磁场的转速为, 转子转速为n,启动瞬间n=0,所以转差率为

猜你喜欢

发表评论
更多 网友评论0 条评论)
暂无评论

Copyright © 2012-2014 恰考网 Inc. 保留所有权利。 Powered by tikuer.com

页面耗时0.0409秒, 内存占用1.03 MB, Cache:redis,访问数据库13次