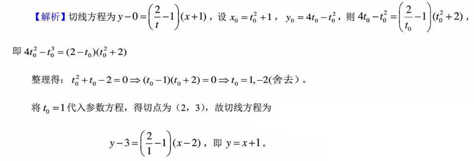
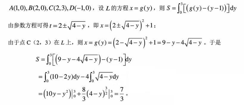
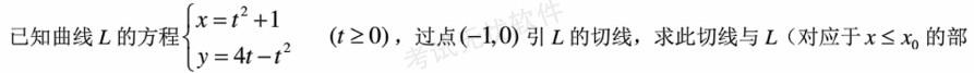
分)及X轴所围成的平面图形的而积为()。A. 1/2
B. 2
C. 7/3
D. 3/7
相关内容:轴所,平面图
- 某办公室平面长14.4m、宽7.2m、高3.6m,墙厚0.2m(照明计算平面按长14.2m、宽7.0m),工作面高度为0.75m,平面图如下图所示,办公室...
- 某办公室平面长14.4m、宽7.2m、高3.6m,墙厚0.2m(照明计算平面按长14.2m、宽7.0m),工作面高度为0.75m,平面图如下图所示,办公室...
- 某办公室平面长14.4m、宽7.2m、高3.6m,墙厚0.2m(照明计算平面按长14.2m、宽7.0m),工作面高度为0.75m,平面图如下图所示,办公室...
- 某办公室平面长14.4m、宽7.2m、高3.6m,墙厚0.2m(照明计算平面按长14.2m、宽7.0m),工作面高度为0.75m,平面图如下图所示,办公室...
- 某办公室平面长14.4m、宽7.2m、高3.6m,墙厚0.2m(照明计算平面按长14.2m、宽7.0m),工作面高度为0.75m,平面图如下图所示,办公室...
- 在一套传动系统中,有多根圆轴,假设所有圆轴传递的功率相同,但转速不同。各轴所承受的扭矩与其转速的关系是( )。A. 转速快的轴扭矩大
B. 转速慢的轴扭...
- 抛物线y2=4x与直线x=3所围成的平面图形绕x轴旋转一周形成的旋转体积是( )。
- —直径为D1的实心圆轴,另一内外径之比为d2/D2=0.8的空心轴,若两轴所受扭矩和轴内最大剪应力均相等,则两轴的外径之比D1/D2为()。A. 0.48...
- 过坐标原点作曲线y=lnx的切线,该切线与曲线y=lnx及X轴围成平面图形D。D的而积A和D绕直线x=e旋转一周所得旋转体的体积V分别为()
- 分)及X轴所围成的平面图形的而积为()。A. 1/2
B. 2
C. 7/3
D. 3/7