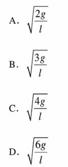
均质杆OA,重P,长1,可在铅直平面内绕水平固定轴O转动。杆在图示铅直位置时静止,欲使杆转到水平位置,则至少要给杆的角速度ω是()。

作者: tihaiku 人气: - 评论: 0
问题 均质杆OA,重P,长1,可在铅直平面内绕水平固定轴O转动。杆在图示铅直位置时静止,欲使杆转到水平位置,则至少要给杆的角速度ω是()。
选项
答案 B
解析

相关内容:可在,平面,内绕,水平,位置,静止,欲使,角速度

猜你喜欢

发表评论
更多 网友评论0 条评论)
暂无评论

Copyright © 2012-2014 恰考网 Inc. 保留所有权利。 Powered by tikuer.com

页面耗时0.0399秒, 内存占用1.04 MB, Cache:redis,访问数据库18次