设α=i+2j+3k,β=i-3j-2k,与α、β都垂直的单位向量为()。

作者: tihaiku 人气: - 评论: 0
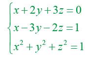
问题 设α=i+2j+3k,β=i-3j-2k,与α、β都垂直的单位向量为()。
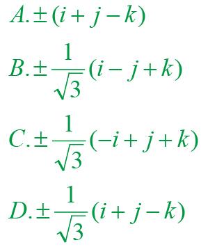
选项
答案 D
解析 根据题意,先将向量表示为点:α(1, 2, 3), β= (1, -3, -2);设与它们垂直的单位向量为,则有 解得,,表示成单位向量为:

相关内容:i+2j+3k,i-3j-2k,单位,向量

猜你喜欢

发表评论
更多 网友评论0 条评论)
暂无评论

Copyright © 2012-2014 恰考网 Inc. 保留所有权利。 Powered by tikuer.com

页面耗时0.0423秒, 内存占用1.04 MB, Cache:redis,访问数据库18次