已知n元非齐次线性方程组Ax=B,秩r (A) =n-2,a1, a2,a3为其线性无关的解向量,k1,k2为任意常数,则Ax=B的通解为( )。

作者: tihaiku 人气: - 评论: 0
问题 已知n元非齐次线性方程组Ax=B,秩r (A) =n-2,a1, a2,a3为其线性无关的解向量,k1,k2为任意常数,则Ax=B的通解为( )。
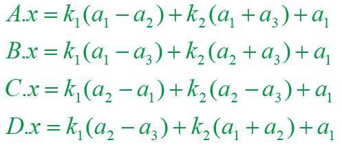
选项
答案 C
解析 Ax=B的通解为Ax=0的通解加上Ax=B的一个特解。因为r (A) =n-2,所以Ax=0的解由两个线性无关的向量组成。所以Ax=B的通解为

相关内容:元非,齐次,线性,方程组,向量,常数,通解

猜你喜欢

发表评论
更多 网友评论0 条评论)
暂无评论

Copyright © 2012-2014 恰考网 Inc. 保留所有权利。 Powered by tikuer.com

页面耗时0.0683秒, 内存占用1.04 MB, Cache:redis,访问数据库18次