设总体X的概率分布为: X 0 1 2 3 P θ2 2θ(1-θ) θ2 1-2θ ...

作者: tihaiku 人气: - 评论: 0
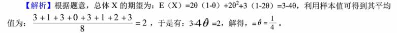
问题 设总体X的概率分布为: X 0 1 2 3 P θ2 2θ(1-θ) θ2 1-2θ 其中θ(0<θ<1/2)是未知参数,利用样本值3,1,3,0,3,1,2,3,所得θ的矩估计值是()。
选项 A.1/4 B.1/2 C.2 D.0
答案 A
解析
  • 上一篇:
  • 下一篇:

相关内容:总体,概率

猜你喜欢

发表评论
更多 网友评论0 条评论)
暂无评论

Copyright © 2012-2014 恰考网 Inc. 保留所有权利。 Powered by tikuer.com

页面耗时0.0427秒, 内存占用1.03 MB, Cache:redis,访问数据库13次