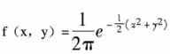
设随机变量(X,Y)服从二维正态分布,其概率密度为则E(X2+Y2)等于()。A. 2 B. 1 C.1/2 D.1/4

作者: tihaiku 人气: - 评论: 0
问题 设随机变量(X,Y)服从二维正态分布,其概率密度为则E(X2+Y2)等于()。
选项 A. 2 B. 1 C.1/2 D.1/4
答案 A
解析 从密度函数可以看出X、Y是独立的标准正态分布,所以X2+Y2是服从自由度为2的X2分布,X2分布的期望值为自由度,故E(X2+Y2)=2。

相关内容:变量,正态分布,概率,密度

猜你喜欢

发表评论
更多 网友评论0 条评论)
暂无评论
错误啦!

错误信息

  • 消息: [程序异常] : MISCONF Redis is configured to save RDB snapshots, but it's currently unable to persist to disk. Commands that may modify the data set are disabled, because this instance is configured to report errors during writes if RDB snapshotting fails (stop-writes-on-bgsave-error option). Please check the Redis logs for details about the RDB error.
  • 文件: /twcms/kongphp/cache/cache_redis.class.php
  • 位置: 第 85 行
    <?php echo 'KongPHP, Road to Jane.'; ?>