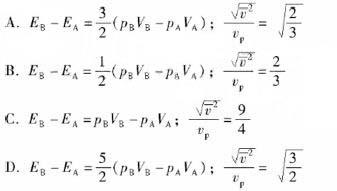
一定量的双原子理想气体,经如图2-1-5所示的过程,从状态A经等容过程到达状态B,再经一平衡过程到达状态C,最后经等压过程回到状态A已知pA=pC=p,V...

作者: tihaiku 人气: - 评论: 0
问题 一定量的双原子理想气体,经如图2-1-5所示的过程,从状态A经等容过程到达状态B,再经一平衡过程到达状态C,最后经等压过程回到状态A已知pA=pC=p,VA=VB=V,A点温度为TA,则由状态A变到状态B时,内能的增量及在状态B时的比值分别为()。
选项
答案 D
解析

相关内容:一定量,原子,理想,气体,如图,过程,状态

猜你喜欢

发表评论
更多 网友评论0 条评论)
暂无评论
错误啦!

错误信息

  • 消息: [程序异常] : MISCONF Redis is configured to save RDB snapshots, but it's currently unable to persist to disk. Commands that may modify the data set are disabled, because this instance is configured to report errors during writes if RDB snapshotting fails (stop-writes-on-bgsave-error option). Please check the Redis logs for details about the RDB error.
  • 文件: /twcms/kongphp/cache/cache_redis.class.php
  • 位置: 第 85 行
    <?php echo 'KongPHP, Road to Jane.'; ?>