如图4-2-11所示,在铅直面内的一块圆板上刻有三道直槽AO、BO、CO,三个质量相等的小球M1、M2、M3在重力作用下自静止开始分别沿各槽运动,不计摩檫...

作者: tihaiku 人气: - 评论: 0
问题 如图4-2-11所示,在铅直面内的一块圆板上刻有三道直槽AO、BO、CO,三个质量相等的小球M1、M2、M3在重力作用下自静止开始分别沿各槽运动,不计摩檫,则()到达O点。
选项 A. M1小球先 B. M2小球先 C. M3小球先 D.三球同时
答案 D
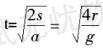
解析 加速度a=gsinθ,位移s=2rsinθ,因此运动时间所以三个小球同时到达O点。

相关内容:如图,4-2-11所示,一块,圆板,直槽,三个,质量,小球,重力,作用,下自,静止,沿各,运动,摩檫

猜你喜欢

发表评论
更多 网友评论0 条评论)
暂无评论

Copyright © 2012-2014 恰考网 Inc. 保留所有权利。 Powered by tikuer.com

页面耗时0.0529秒, 内存占用1.04 MB, Cache:redis,访问数据库19次