已知如图5-5-30所示梁抗弯刚度EI为常数,则用叠加法可得自由端C点的挠度为()。

作者: tihaiku 人气: - 评论: 0
问题 已知如图5-5-30所示梁抗弯刚度EI为常数,则用叠加法可得自由端C点的挠度为()。
选项
答案 D
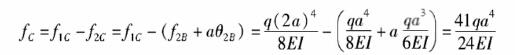
解析 采用叠加原理。该梁受载情况可看作是全梁上侧作用有大小为q的向下的均布载荷,同时AB段梁的下侧作用有大小为q的向上的均布载荷,根据叠加原理可知,自由端C的挠度等于这两个均布荷载单独作用下C点挠度的和。根据悬臂梁受均布荷载作用下自由端挠度和转角的计算公式可得:

相关内容:如图,5-5-30,梁抗弯,刚度,常数,加法,挠度

猜你喜欢

发表评论
更多 网友评论0 条评论)
暂无评论

Copyright © 2012-2014 恰考网 Inc. 保留所有权利。 Powered by tikuer.com

页面耗时0.0416秒, 内存占用1.04 MB, Cache:redis,访问数据库16次