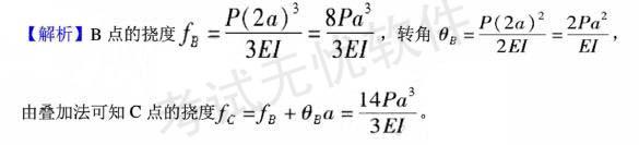
如图5-5-32所示悬臂梁,抗弯刚度为EI,B处受集中力P作用,则C处的挠度为()。

作者: tihaiku 人气: - 评论: 0
问题 如图5-5-32所示悬臂梁,抗弯刚度为EI,B处受集中力P作用,则C处的挠度为()。
选项
答案 D
解析

相关内容:如图,5-5-32,悬臂梁,抗弯,刚度,处受,作用,挠度

猜你喜欢

发表评论
更多 网友评论0 条评论)
暂无评论

Copyright © 2012-2014 恰考网 Inc. 保留所有权利。 Powered by tikuer.com

页面耗时0.0365秒, 内存占用1.04 MB, Cache:redis,访问数据库19次