设方程x2+y2+z2=4z确定可微函数z=z (X,y),则全微分dz等于( )。

作者: tihaiku 人气: - 评论: 0
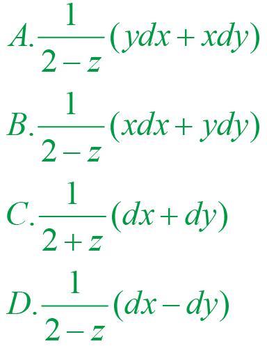
问题 设方程x2+y2+z2=4z确定可微函数z=z (X,y),则全微分dz等于( )。
选项
答案 B
解析 对等式两边同时取微分得:2xdx+2ydy+2zdz=4dz。所以,

相关内容:方程,x2+y2+z2,可微,函数,微分

猜你喜欢

发表评论
更多 网友评论0 条评论)
暂无评论

Copyright © 2012-2014 恰考网 Inc. 保留所有权利。 Powered by tikuer.com

页面耗时0.0589秒, 内存占用1.04 MB, Cache:redis,访问数据库19次