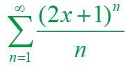
级数的收敛域是( )。A. (-1, 1) B. [-1,11] C. [-1,0) D. (-1, 0)

作者: tihaiku 人气: - 评论: 0
问题 级数的收敛域是( )。
选项 A. (-1, 1) B. [-1,11] C. [-1,0) D. (-1, 0)
答案 C
解析 采用排除法求解。当x=0时,原级数可化为,级数是发散的,排除AB两项;当x=-1时,代入可知级数是交错级数,收敛。

猜你喜欢

发表评论
更多 网友评论0 条评论)
暂无评论
错误啦!

错误信息

  • 消息: [程序异常] : MISCONF Redis is configured to save RDB snapshots, but it's currently unable to persist to disk. Commands that may modify the data set are disabled, because this instance is configured to report errors during writes if RDB snapshotting fails (stop-writes-on-bgsave-error option). Please check the Redis logs for details about the RDB error.
  • 文件: /twcms/kongphp/cache/cache_redis.class.php
  • 位置: 第 85 行
    <?php echo 'KongPHP, Road to Jane.'; ?>