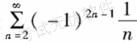
若级数在x>0时发散,在x=0时收敛,则常数a=()。A. 1 B. -1 C. 2 D. -2

作者: tihaiku 人气: - 评论: 0
问题 若级数在x>0时发散,在x=0时收敛,则常数a=()。
选项 A. 1 B. -1 C. 2 D. -2
答案 B
解析 由已知,若X=0时收敛,则必有a≤1。又a=1且X=0时,原级数发散;仅当a=-1且x=0时,原级数收敛,故选B项。

猜你喜欢

发表评论
更多 网友评论0 条评论)
暂无评论

Copyright © 2012-2014 恰考网 Inc. 保留所有权利。 Powered by tikuer.com

页面耗时0.0595秒, 内存占用1.03 MB, Cache:redis,访问数据库13次