设X1,X2,…,Xn与Y1,Y2,…,Yn都是来自正态分布的样本,并且相互独立,与分别是其样本均值,则服从的分布是( )。

作者: tihaiku 人气: - 评论: 0
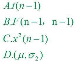
问题 设X1,X2,…,Xn与Y1,Y2,…,Yn都是来自正态分布的样本,并且相互独立,与分别是其样本均值,则服从的分布是( )。
选项
答案 B
解析 若X、Y相互独立,且,则称服从F分布,记作F~F(n1,n2)。本题中,,且相互独立,所以服从F (n - 1 ,n - 1)分布。

相关内容:正态分布,样本,均值

猜你喜欢

发表评论
更多 网友评论0 条评论)
暂无评论
错误啦!

错误信息

  • 消息: [程序异常] : MISCONF Redis is configured to save RDB snapshots, but it's currently unable to persist to disk. Commands that may modify the data set are disabled, because this instance is configured to report errors during writes if RDB snapshotting fails (stop-writes-on-bgsave-error option). Please check the Redis logs for details about the RDB error.
  • 文件: /twcms/kongphp/cache/cache_redis.class.php
  • 位置: 第 85 行
    <?php echo 'KongPHP, Road to Jane.'; ?>