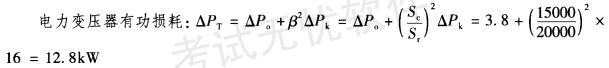
假定车间变电所变压器额定容量为SN =20000kV·A,空载损耗为Po=3.8kW, 短路损耗Ps=100kW,正常运行时的计算负荷Sj =15...
相关内容:假定,车间,变电所,变压器,容量,20000kV,损耗,短路,负荷
-
更换后,变压器的效率提高了()。A. 0.1%;
B0.3%.
C. 0.5%;
D. 0.8%。
-
更换后,变压器电源侧输人功率降低了( )。A. 0.73kW;
B 1.5kW;
C. 1.6kW;
D. 2.7kW。
-
变压器二次输出功率为( )。A. 590kW;
B. 600kW:
C. 605kW;
D. 630kW.
-
更换后变压器的空载综合功率损失比更换前下降了()。A. 20.4%;
B21.6%;
C. 23.6%;
D. 25.8%。
-
更换后变压器的总无功功率降低了()。A. 2kvar
B. 3kvar;
C. 4kvar;
D. 5kvar
-
更换后变压器空载时的无功功率降低了()。A. 5kvar;
B. 4kvar;
C. 3kvar;
D. 2kvar
- 某车间有一台额定容量为8000kVA的电力变压器,其空载损耗为10. 9kW,短路损 耗为52.8kW,阻抗电压为7. 2%,变压器负载率为75%, 二次...
- 某厂有一台额定容量为5000kVA的电力变压器,其空载损耗为6. 75kW,短路损耗 为36.7kW,阻抗电压为7%,空载电流百分率为0.9%,变压器负载...
- 某厂有一台额定容量为5000kVA的电力变压器,其空载损耗为6. 75kW,短路损耗 为36.7kW,阻抗电压为7%,空载电流百分率为0.9%,变压器负载...
- 某厂有一台额定容量为5000kVA的电力变压器,其空载损耗为6. 75kW,短路损耗 为36.7kW,阻抗电压为7%,空载电流百分率为0.9%,变压器负载...