上述(2)方案配电子镇流器,输人功率27W,实际LPD值为( )。A. 5. 1 W/m2; B. 5. 6W/m2; C. 6. lW/m2; ...

作者: tihaiku 人气: - 评论: 0
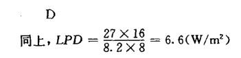
问题 上述(2)方案配电子镇流器,输人功率27W,实际LPD值为( )。
选项 A. 5. 1 W/m2; B. 5. 6W/m2; C. 6. lW/m2; D. 6. 6W/m2.
答案 D
解析

相关内容:方案,电子,镇流器,输人,功率,实际,值为

猜你喜欢

发表评论
更多 网友评论0 条评论)
暂无评论

Copyright © 2012-2014 恰考网 Inc. 保留所有权利。 Powered by tikuer.com

页面耗时0.0634秒, 内存占用1.03 MB, Cache:redis,访问数据库15次