属于第五周期的某一元素的原子失去三个电子后,在角量子数为2的外层轨道上电子恰好处于半充满状态,该元素的原子序数为()。A. 26 B. 41 C. 7...

作者: tihaiku 人气: - 评论: 0
问题 属于第五周期的某一元素的原子失去三个电子后,在角量子数为2的外层轨道上电子恰好处于半充满状态,该元素的原子序数为()。
选项 A. 26 B. 41 C. 76 D. 44
答案 C
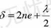
解析 劈尖干涉的光程差为同一位置当劈角θ变大时,光程差变大,对应的空气层厚度e增大,原先的厚度e0出现在该位置左方,产生的干涉条纹相应左移;条纹间距1=λ/(2sinθ),当劈角θ变大时,条纹间距变小。

相关内容:周期,元素,原子,三个,电子,量子,外层,道上,状态

猜你喜欢

发表评论
更多 网友评论0 条评论)
暂无评论

访问排行

Copyright © 2012-2014 恰考网 Inc. 保留所有权利。 Powered by tikuer.com

页面耗时0.0342秒, 内存占用1.05 MB, Cache:redis,访问数据库18次