在某个多电子原子中,分别可用下列各组量子数表示相关电子的运动状态,其中能量最高的电子是( )。A. 2, 0,0,-1/2 B. 2, 1,0, -1/...

作者: tihaiku 人气: - 评论: 0
问题 在某个多电子原子中,分别可用下列各组量子数表示相关电子的运动状态,其中能量最高的电子是( )。
选项 A. 2, 0,0,-1/2 B. 2, 1,0, -1/2 C. 3, 2,0,-1/2 D. 3,1, 0, -1/2
答案 C
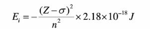
解析 决定多电子原子电子的能量E的量子数是主量子数n和角量子数l, 式中(Z-σ)=Z称为有效核电荷。多电子原子电子的能量和Z、n、σ有关。Z愈大,相同轨道的能量愈低,n愈大,能量愈高;起屏蔽作用的电子愈多,总的屏蔽作用愈强。σ愈大,能量愈高。n相同l不同时,l愈小的电子,它本身的钻穿能力愈强,离核愈近,它受到其他电子对它的屏蔽作用就愈弱,能量就愈低,所以E2p>E2S,E3d>E3p。

相关内容:电子,原子,量子,相关,运动,状态,能量

猜你喜欢

发表评论
更多 网友评论0 条评论)
暂无评论

访问排行

Copyright © 2012-2014 恰考网 Inc. 保留所有权利。 Powered by tikuer.com

页面耗时0.0370秒, 内存占用1.04 MB, Cache:redis,访问数据库20次