某轧钢车间有一台额定功率1450kW,额定转速500r/min的轧钢同步电动机,电动 机的额定电压为6kV,额定容量为1.9MVA,额定启动电流倍数为5....

作者: tihaiku 人气: - 评论: 0
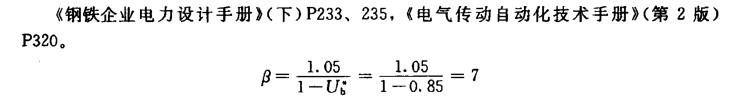
问题 某轧钢车间有一台额定功率1450kW,额定转速500r/min的轧钢同步电动机,电动 机的额定电压为6kV,额定容量为1.9MVA,额定启动电流倍数为5. 9倍,额定电压下启 动转矩标幺值为1。变电所6kV、50Hz母线上的最小短路容量为46MVA。启动前母线电压 为額定电压6kV,母线上的无功负载为2. 95Mvar。启动时母线允许电压标幺值为0.85。机 组的静阻转矩标幺值为0. 16。试判断电抗器降压启动方案的可行性及计算有关参数。 根据等效电路,按母线电压水平核算此电动机采用电抗器启动时,与母线允许电压 标幺值有关的计算系数为()。
选项 A. 1.24; B. 5.25; C. 7.00; D. 10.0。
答案 C
解析

相关内容:功率,1450kW,转速,电动机,电动,电压,容量,1.9MVA,电流,倍数

猜你喜欢

发表评论
更多 网友评论0 条评论)
暂无评论
错误啦!

错误信息

  • 消息: [程序异常] : MISCONF Redis is configured to save RDB snapshots, but it's currently unable to persist to disk. Commands that may modify the data set are disabled, because this instance is configured to report errors during writes if RDB snapshotting fails (stop-writes-on-bgsave-error option). Please check the Redis logs for details about the RDB error.
  • 文件: /twcms/kongphp/cache/cache_redis.class.php
  • 位置: 第 85 行
    <?php echo 'KongPHP, Road to Jane.'; ?>