某125MW火电机组低压厂变回路从6kV厂用工作段母线引接,该母线短路电流周期分量起始值为28kA。低压厂变为油浸自冷式三相变压器,参数为:Se=1000...

作者: tihaiku 人气: - 评论: 0
问题 某125MW火电机组低压厂变回路从6kV厂用工作段母线引接,该母线短路电流周期分量起始值为28k
选项 A。低压厂变为油浸自冷式三相变压器,参数为:Se=1000kVA,Ue=6.3/0.4kV,阻抗电压Ud=4.5%,接线组别Dyn11,额定负载的短路损耗Pd=10kW。DL1为6kV真空断路器,开断时间为60ms;DL2为0.4kV空气断路器。该变压器高压侧至6kV开关柜用电缆连接;低压侧0.4kV至开关柜用硬导体连接,该段硬导体每相阻抗为Zm=(0.15+j0.4)mΩ;中性点直接接地,低压厂变设主保护和后备保护,主保护动作时间为20ms,后备保护动作时间为300ms,低压厂变回路接线及布置见图,请回答下列问题(计算题按最接近数值选项)。 若0.4kV开关柜内的电阻忽略,计算空气断路器D12的PC母线侧短路时,流过该断路器的三相短路电流周期分量起始有效值最接近下列哪项数值?[变压器相关阻抗按照《电力工程电气设计手册》(电气一次部分)计算]() (A)32.08kA (C)27.00kA (B)30.30kA (D)29.61kA
答案 B
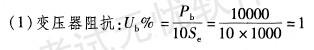
解析 《火电发电厂厂用电设计技术规定》(DL/T5153-2002)第7.3.2条:当在380V动力中心或电动机控制中心内发生短路时,应计及直接接在配电屏上的电动机反馈电流。但由于本题问的是流过DI2断路器的短路电流周期分量,电动机的反馈电流应进入短路点后,不再流过D12断路器,因此本题只计算变压器供给的短路电流即可。 《电力工程电气设计手册》(电气一次部分)P151式(4-60)和式(4-68)。 注:严格地说,低压电力网短路时,是需要计入高压侧系统阻抗的,但《火电发电厂厂用电设计技术规定》(DL/T5153-2002)第7.3.1条的条文解释中:低压系统短路时,可认为高压侧电源无穷大,这样可以简化计算,而产生的误差是使三相短路电流偏大,但至多不超过3%,这对用于校验电器的动热稳定性是偏于安全的。且本题6kV电缆阻抗数据未明确,无法完整计入高压侧阻抗,因此建议忽略高压侧短路阻抗。 为了解答完整起见,高压侧系统阻抗计算如下,可参考:《电力工程电气设计手册》(电力一次部分)H51式(4-59)。 电流为28.39kA。

相关内容:机组,低压厂,回路,工作,段母线,母线,短路,电流,周期,分量,起始,油浸,自冷,变压器,参数,1000...

猜你喜欢

发表评论
更多 网友评论0 条评论)
暂无评论

访问排行

Copyright © 2012-2014 恰考网 Inc. 保留所有权利。 Powered by tikuer.com

页面耗时0.0516秒, 内存占用1.05 MB, Cache:redis,访问数据库19次