某风电场升压站的110kV主接线釆用变压器线路组接线,一台主变压器容量为100MVA,主变压器短路阻抗10.5%,110kV配电装置釆用屋外敞开式,升压站...

作者: tihaiku 人气: - 评论: 0
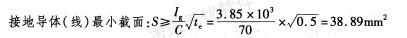
问题 某风电场升压站的110kV主接线釆用变压器线路组接线,一台主变压器容量为100MVA,主变压器短路阻抗10.5%,110kV配电装置釆用屋外敞开式,升压站地处1000m以下,站区属多雷区。 该风场的110kV配电装置接地均压网采用镀锌钢材,试求其最小截面,计算假定条件如下:流过接地线的短路电流稳定值Ijd为3.85kA,短路等效持续时间t为0.5s? () (A)38.89mm2 (B)30.25mm2 (C)44.63mm2 (D)22.69mm2
选项
答案 B
解析 《交流电气装置的接地设计规范》(GB/T50065—2011)附录E式(E.0.1)及第4.3.5-3条。 第4.3.5-3条:接地装置接地的截面,不宜小于连接至该接地装置的接地导体(线)截面的75%。 接地均压网的最小截面S≥75%xS=0.75x38.89=29.17mm2,因此,选择最接近的答案为选项B。 注:接地均压网应属于接地装置的接地极。

相关内容:某风,电场,接线,釆用,变压器,线路,容量,100MVA,短路,阻抗,装置,屋外

猜你喜欢

发表评论
更多 网友评论0 条评论)
暂无评论

访问排行

Copyright © 2012-2014 恰考网 Inc. 保留所有权利。 Powered by tikuer.com

页面耗时0.0448秒, 内存占用1.05 MB, Cache:redis,访问数据库19次