某机械设备配用一台绕线型异步电动机,其额定功率90kW,额定转速589r/min, 转子额定电压330V,转子额定电流166. 6A。电动机的最大转矩标幺...

作者: tihaiku 人气: - 评论: 0
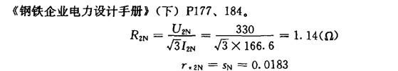
问题 某机械设备配用一台绕线型异步电动机,其额定功率90kW,额定转速589r/min, 转子额定电压330V,转子额定电流166. 6A。电动机的最大转矩标幺值为3.1,计算最大启 , 动转矩的系数取0.8。现决定采用对称切除三级电阻启动。试用分析法求各级启动电阻值。 (转子导线电阻忽略不计。) 该电动机转子额定电阻为()Ω,转子内电阻标幺值为()。
选项 A.转子額定电阻0.66,转子内电阻标幺值0.0183; B.转子額定电阻1.14,转子内电阻标幺值0.0183; C.转子额定电阻1.98,转子内电阻标幺值0.05; D.转子额定电阻3.42,转子内电阻标幺值0.011。
答案 B
解析

相关内容:机械设备,线型,异步电动机,功率,转速,转子,电压,电流,电动机,转矩,标幺

猜你喜欢

发表评论
更多 网友评论0 条评论)
暂无评论

Copyright © 2012-2014 恰考网 Inc. 保留所有权利。 Powered by tikuer.com

页面耗时0.0721秒, 内存占用1.03 MB, Cache:redis,访问数据库13次