某一般性质的220kV变电站,电压等级为220/110/10kV,两台相同的主变压器,容量为240/240/120MVA,短路阻抗Uk1-2=14%,Uk...

作者: tihaiku 人气: - 评论: 0
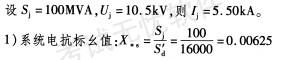
问题 某一般性质的220kV变电站,电压等级为220/110/10kV,两台相同的主变压器,容量为240/240/120MVA,短路阻抗Uk1-2=14%,Uk1-3=25%,Uk2-3=8%,两台主变压器同时运行时的负载率为65%。220kV架空线进线2回,110kV架空负荷出线8回,10kV电缆负荷出线12回,设两段母线,每段母线出线6回,每回电缆平均长度为6km,电容电流为1A/km,220kV母线穿越功率为200MVA,220kV母线短路容量为16000MVA,主变压器10kV出口设置XKK-10-2000-10的限流电抗器一台。请回答下列各题。(XK表示限流电抗器,K表示空芯,额定电压表示10kV,额定电流表示2000A,电抗率10%) 假设该变电所220kV母线正常为合环运行,110kV、10kV母线为分列运行,则10kV母线的短路电流应是下列哪项数值?(计算过程小数点后保留三位,最终结果小数点后保留一位) () (A)52.8kA (B)49.8kA (C)15.0k
选项 A (D)14.8kA
答案 D
解析 《电力工程电气设计手册》(电气一次部分)P120表4-1、表4-2、表4-4,式(4-10)及P129式(4-20)。 注:限流电抗器XKK40-200040的含义为:XK为限流电抗器;K为空芯;额定电压为101kV;额定电流为2000A,电抗率10%。

相关内容:一般性,变电站,电压,等级,变压器,容量,120MVA,短路,阻抗

猜你喜欢

发表评论
更多 网友评论0 条评论)
暂无评论

访问排行

Copyright © 2012-2014 恰考网 Inc. 保留所有权利。 Powered by tikuer.com

页面耗时0.0295秒, 内存占用1.03 MB, Cache:redis,访问数据库13次