某生产车间有一台抽风机,生产要求能自启动,抽风机配套的交流异步电动机参数 为:额定电压6000V,额定功率850kW,额定电流97A,启动电流为额定电流的...

作者: tihaiku 人气: - 评论: 0
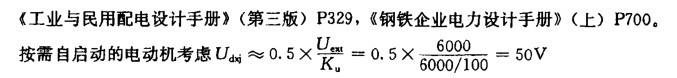
问题 某生产车间有一台抽风机,生产要求能自启动,抽风机配套的交流异步电动机参数 为:额定电压6000V,额定功率850kW,额定电流97A,启动电流为额定电流的5. 8倍, 电动机最大转矩为额定转矩的2. 2倍。电网参数:电网电压6000V,在电网最小运行方式下 电动机端子三相短路时,流过保护的最小三相短路电流为9000A。电动机主回路电流互感器 变比为150/5。电动机电源母线电压互感器变比为6000/100。 如采用低电压保护,下列最符合低电压保护继电器动作电压值是( )。
选项 A. 100V; B. 75V; C. 50V; D. 20V。
答案 C
解析

相关内容:某生,风机,生产,要求,能自,交流,异步电动机,参数,电压,功率,电流

猜你喜欢

发表评论
更多 网友评论0 条评论)
暂无评论
错误啦!

错误信息

  • 消息: [程序异常] : MISCONF Redis is configured to save RDB snapshots, but it's currently unable to persist to disk. Commands that may modify the data set are disabled, because this instance is configured to report errors during writes if RDB snapshotting fails (stop-writes-on-bgsave-error option). Please check the Redis logs for details about the RDB error.
  • 文件: /twcms/kongphp/cache/cache_redis.class.php
  • 位置: 第 85 行
    <?php echo 'KongPHP, Road to Jane.'; ?>