某电网规划建设一座220kV变电所,安装2台主变压器,三相电压为 220/110/10kV,220kV、110kV为双母线接线,10kV为单母线分段接线。...

作者: tihaiku 人气: - 评论: 0
问题 某电网规划建设一座220kV变电所,安装2台主变压器,三相电压为 220/110/10kV,220kV、110kV为双母线接线,10kV为单母线分段接线。220kV出线4回,10kV电缆出线16回,每回长2km。110kV出线无电源。电气主接线如图所示。 请回答下列问题 : 请回答下列问题:220kV线路采用架空钢芯铝绞线,(导线最高允许温度为+70℃、环境温度为25℃),导线参数见表。若单回线路最大输送容量为550MW(功率因数为0.95),请计算并合理选择导线为下列哪一种?( ) (A)2×300mm2 (B)2×400mm2 (C)400mm2 (D)2×630mm2
选项
答案 B
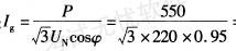
解析 《导体和电器选择设计技术规定》,表D.11。校正系数K=1,载流量修正。 《电力工程电气设计手册》(电气一次部分)。 导线最大持续工作电流:= 1.519kA = 1519A 注:架空钢芯铝绞线应为不计日照的屋外软导线。

相关内容:电网,规划建设,一座,变电所,变压器,电压,母线,接线,单母线,分段

猜你喜欢

发表评论
更多 网友评论0 条评论)
暂无评论

访问排行

Copyright © 2012-2014 恰考网 Inc. 保留所有权利。 Powered by tikuer.com

页面耗时0.0400秒, 内存占用1.05 MB, Cache:redis,访问数据库20次