某110kV变电所装有两台三绕组变压器,额定容量为120/120/60MVA,额定电压为110/35/10kV,阻抗为U1-2=9.5%,U1-2=28%...

作者: tihaiku 人气: - 评论: 0
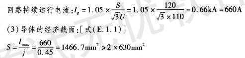
问题 某110kV变电所装有两台三绕组变压器,额定容量为120/120/60MVA,额定电压为110/35/10kV,阻抗为U1-2=9.5%,U1-2=28%,U2-3=19%,主变压器110kV35kV侧均为架空进线,110kV架空出线至2km之外的变电所(全线有避雷线),35kV和10kV为负荷线,10kV母线上装设有并联电容器组,其电气主接线如图所示。 图中10kV配电装置距主变压器1km,主变压器10kV侧采用3x185mm铜芯电缆接10kV母线,电缆单位长度电阻为0. 103ω/km,电抗为0.069ω/km,功率因数cosφ=0.85,请回答下列问题。(计算题按最接近数值选项) 假设图中主变压器最大年利用小时数为4000h,成本按0.27元/kWh,经济电流 密度取0.455A/mm2,主变压器110kV侧架空导线采用铝绞线,按经济电流密度选择的导线截面应为:() (A)2x400mm2(B)2x500mm2 (C)2x630mm2(D)2x800mm2
选项
答案 C
解析 《导体和电器选择设计技术规定》(DL/T 5222-2005)附录E,图E.7曲线6和式(E.1.1)。 (1)查阅曲线及已知条件:经济电流密度为0.455A/mm2。 (2)持续工作电流: 《电力工程电气设计手册》(电气一次部分)P232表6-3和P377式(8-3)。 注:参考《电力工程电气设计手册》(电气一次部分)P336中“当无合适规格导体时,导线面积可小于经济电流密度的计算截面”。也可参考《导体和电器选择设计技术规定》(DL/T5222-2005)第7.1.6条。

相关内容:变电所,绕组,变压器,容量,电压,阻抗,28%...

猜你喜欢

发表评论
更多 网友评论0 条评论)
暂无评论

访问排行

Copyright © 2012-2014 恰考网 Inc. 保留所有权利。 Powered by tikuer.com

页面耗时0.0459秒, 内存占用1.05 MB, Cache:redis,访问数据库18次