某农场有一批大米需运往市中心的超市销售,现只租到一辆货运卡车,第一次运走了总数的1/5还多60袋,第二次运走了总数的1/4少60袋,最后还剩220袋没有运...

作者: rantiku 人气: - 评论: 0
问题 某农场有一批大米需运往市中心的超市销售,现只租到一辆货运卡车,第一次运走了总数的1/5还多60袋,第二次运走了总数的1/4少60袋,最后还剩220袋没有运走,则这批大米一共有( )袋。 A. 400 、B. 450 C. 500 D. 640
选项
答案 A
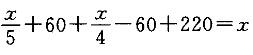
解析 设这批大米一共有x袋,则,求得x = 400。故本题正确答案为A。

猜你喜欢

发表评论
更多 网友评论0 条评论)
暂无评论

访问排行

Copyright © 2012-2014 恰考网 Inc. 保留所有权利。 Powered by tikuer.com

页面耗时0.0346秒, 内存占用1.03 MB, Cache:redis,访问数据库20次