某工程班被派去抢修灾区路面,工程完成1/3时,一半人员被调去救援被困群众,剩下一半人员继续工作4小时后,两个新兵班被调来支援抢修,每个新兵班的效率是工程班...

作者: rantiku 人气: - 评论: 0
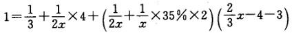
问题 某工程班被派去抢修灾区路面,工程完成1/3时,一半人员被调去救援被困群众,剩下一半人员继续工作4小时后,两个新兵班被调来支援抢修,每个新兵班的效率是工程班的35%,最终比原计划提前3 小时完工,请问原计划几小时完工?( ) A. 48 B. 42 C. 54 D. 60
选项
答案 A
解析 设原定x小时完工,则由题意得, 解得:x=48。所以工程班原定48小时完工。本题选A。

猜你喜欢

发表评论
更多 网友评论0 条评论)
暂无评论

访问排行

Copyright © 2012-2014 恰考网 Inc. 保留所有权利。 Powered by tikuer.com

页面耗时0.0304秒, 内存占用1.03 MB, Cache:redis,访问数据库17次